Ingin berbagi saol tentang Trigonometri dan Logaritma
Trigonometric Functions Formula Class 11 Pdf
Get link
Facebook
X
Pinterest
Email
Other Apps
Trigonometric Functions Formula Class 11 Pdf. Www.ncerthelp.com (visit for all ncert solutions in text and videos, cbse syllabus. Hc verma solutions class 11 physics.
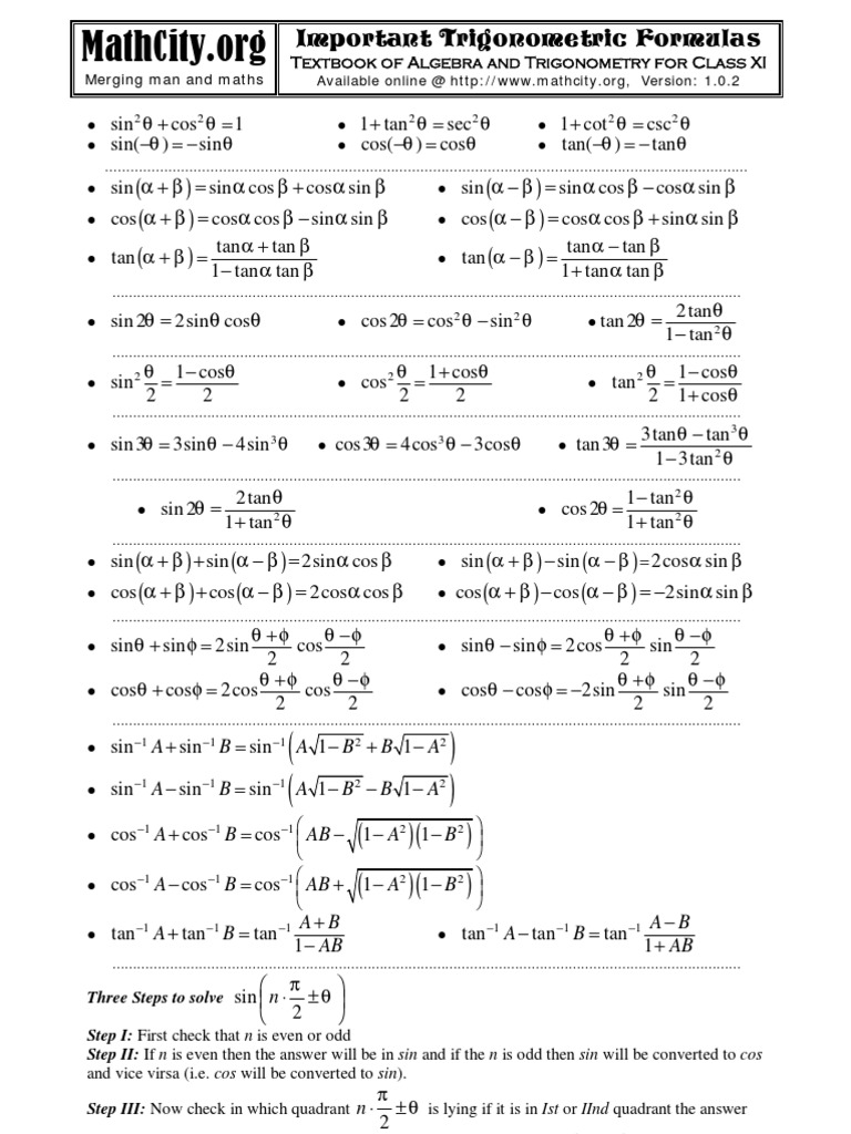
Inverse Trigonometry Formulas With Examples Teachoo Formulae Bas from d1avenlh0i1xmr.cloudfront.net Trigonometry formulas for class 10, 11 & 12. Hc verma solutions class 11 physics. Trigonometric identities an equation involving trigonometric functions which is true for all those angles for which the functions are defined is called trigonometrical 11 | p a g e www.ncerthelp.com (visit for all ncert solutions in text and videos, cbse syllabus, note and many more).
Solving questions by formula like (x + y) formula, 2x 3x formula, cos x + cos y formula , 2.
Trigonometry formulas for class 10, 11 & 12. Welcome to ixl's class xi maths page. Reduction formulae for function values of 90°±θ. Trigonometric identities are equalities that involve trigonometric functions and are true for every value of the occurring variables where both sides of the equality are defined.
Trigonometry Explained Easy . Trigonometry is a main branch of mathematics that studies right triangles, the unit circle, graphs, identities, and more. Trigonometry involves calculating angles and sides in triangles. It Course Banner Def Course Banner It Course List Def Course List Def Course Banner Trigonometry Made Completely Easy Our Trigonometry Tutors Got You Covered With Our Complete Trig Help For All Topics That You Would Expect In from www.studypug.com The height is found by multiplying the length of a side (x) by half the. You have to find the height of the triangle, which is the distance from one vertex to the opposite side. Rajkumar reply to this comment it is a great tutorial very nicely explained. Find the equations of the tangent line and the normal. Trigonometry table which gives the trigonometric ratios of standard angles 0°, 30°, 45°, 60° and 90° for sin, cos, tan, se...
Trigonometric Integrals Rules . It is assumed that you are familiar with the following rules of differentiation. That is, every time we have a differentiation formula, we get an integration formula for nothing. Trig Integrals Function Chart Special A Functions Pdf Trig Integral Rules Hd Png Download 960x540 6134539 Pngfind from www.pngfind.com Substitution integration by parts integrals with trig. With certain integrals we can use right triangles to help us determine a. Exchanging the bounds of integration. This calculus video tutorial provides a basic introduction into trigonometric integrals. When we encounter integrals that involve products of complementary trigonometric functions (sines and. In particular we concentrate we will also briefly look at how to modify the work for products of these trig functions for some quotients of. Let's start by finding the integral of. Compute...
Trigonometric Integrals Formulas . Complete list of trigonometric formulas (class 10 to 12). In this topic, we will study how to integrate certain combinations involving products and powers of trigonometric functions. Integration Formulas Pdf Basic Indefinite Formulas With Example from www.pdffiles.in We will use trigonometric identities to integrate certain combinations of trigonometric functions. Compute by hand the integrals of a wide variety of functions by using the trigonometric integrals. The symbols =s and =c indicate the use of the substitutions {u. Below are some of the most important definitions, identities and formulas in trigonometry. All trigonometric formulas are divided into two major systems. Recall from the definition of an antiderivative that, if. Trigonometric functions, identities, formulas and the sine and cosine laws are presented. Trigonometric integrals span t...
Comments
Post a Comment